雷竞技
全国咨询热线: 0832-5335908

新闻中心

新闻中心

“浙BA”各队大名单调整 新增球员将启用

发布时间:2025-11-14

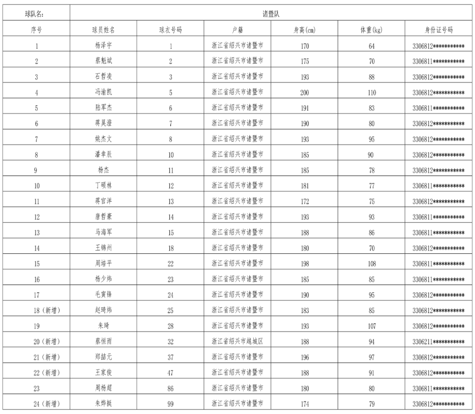
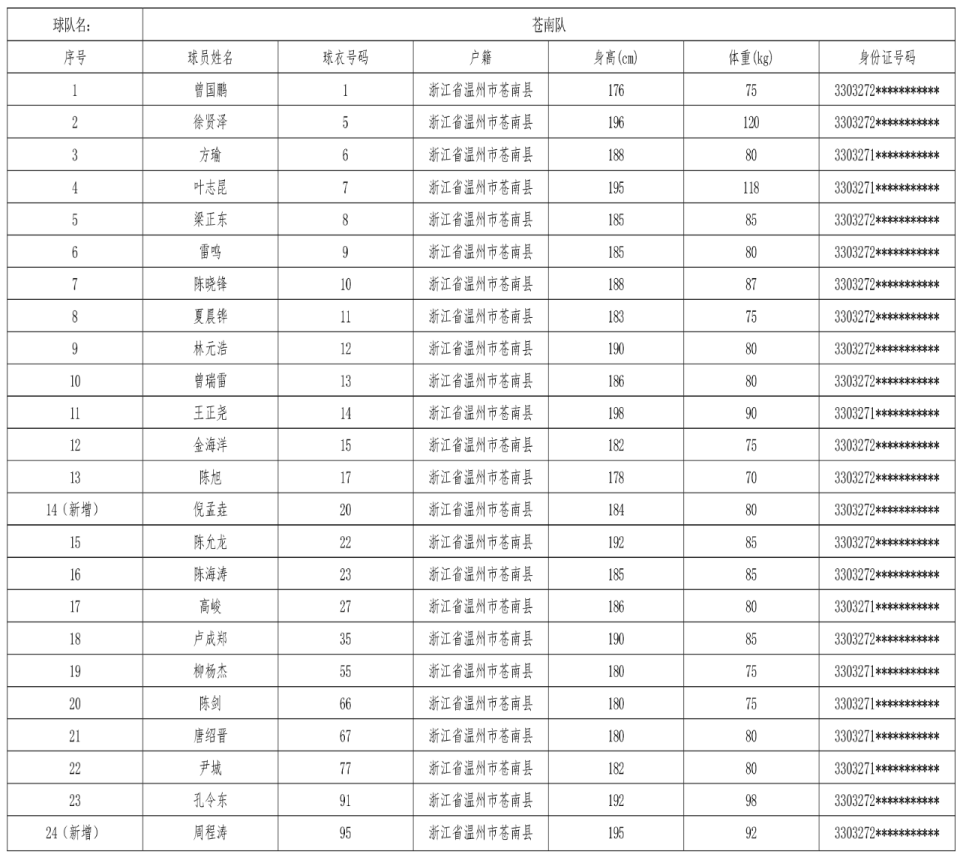
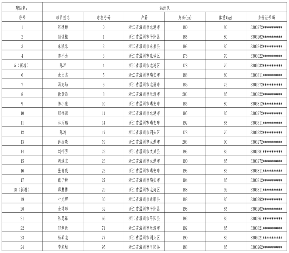
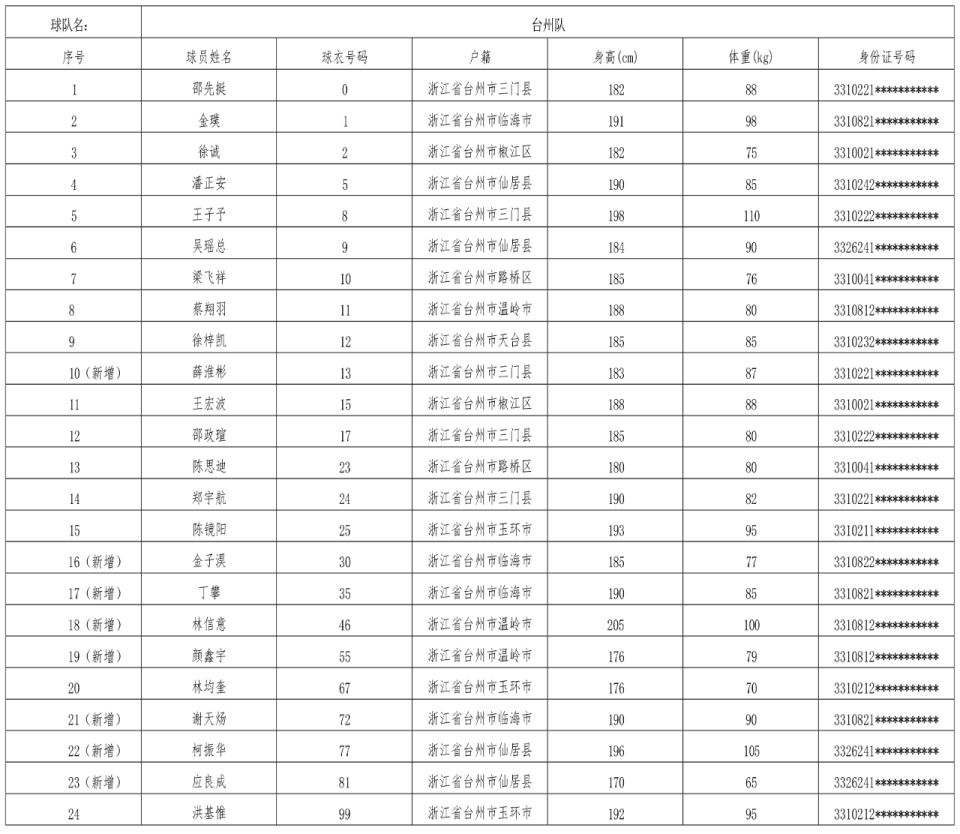
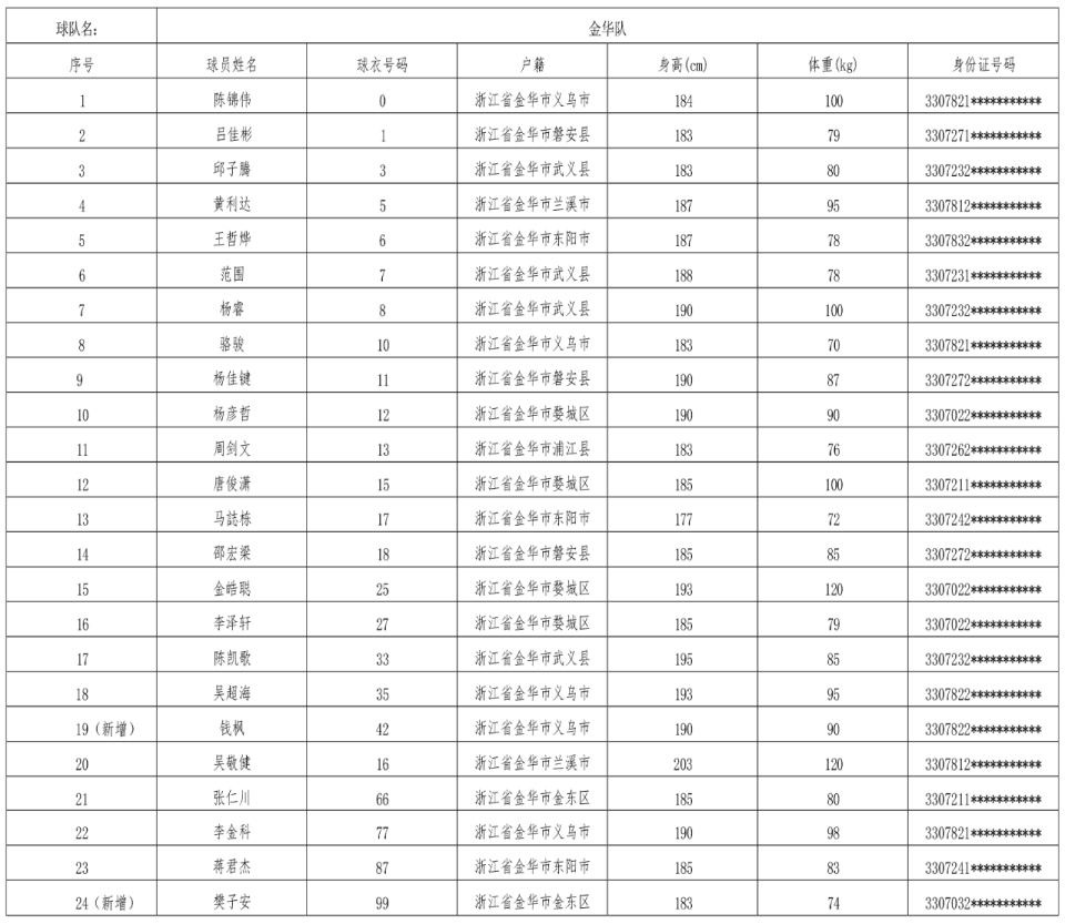
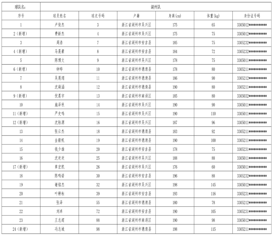
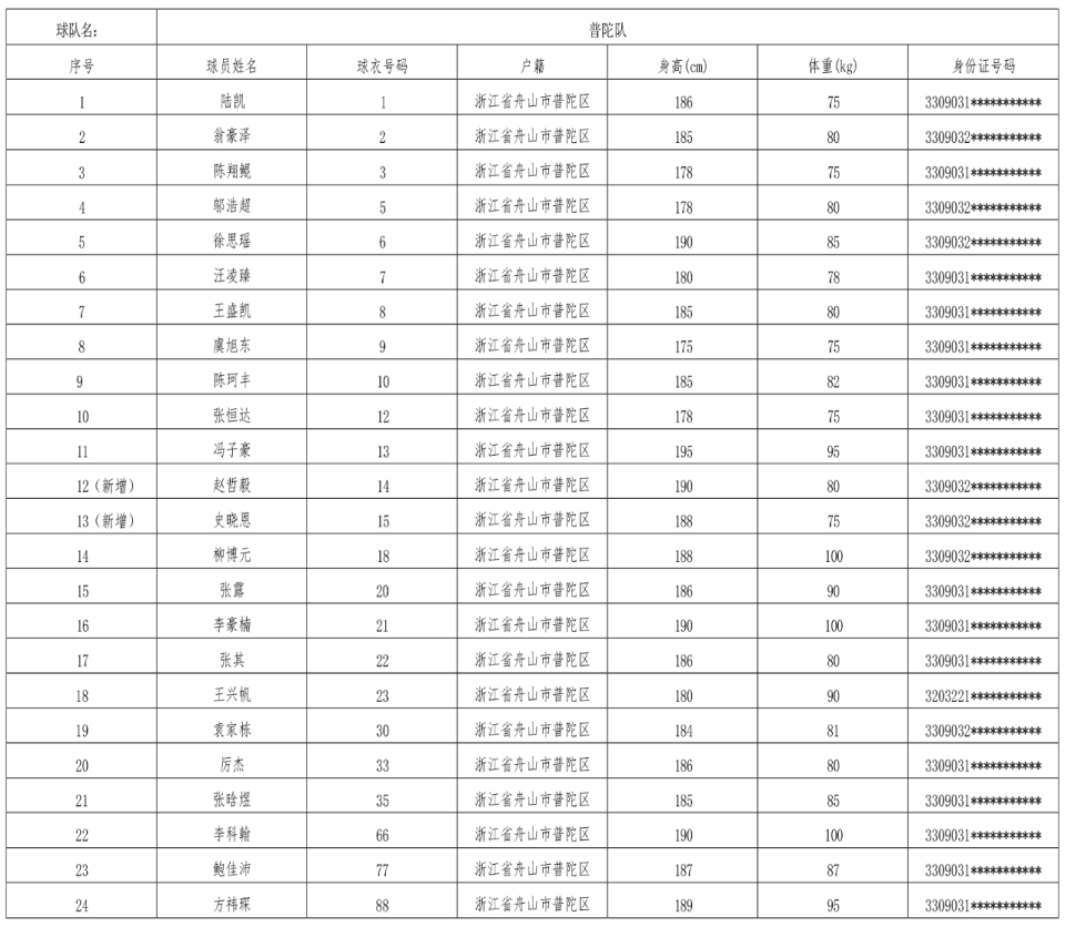
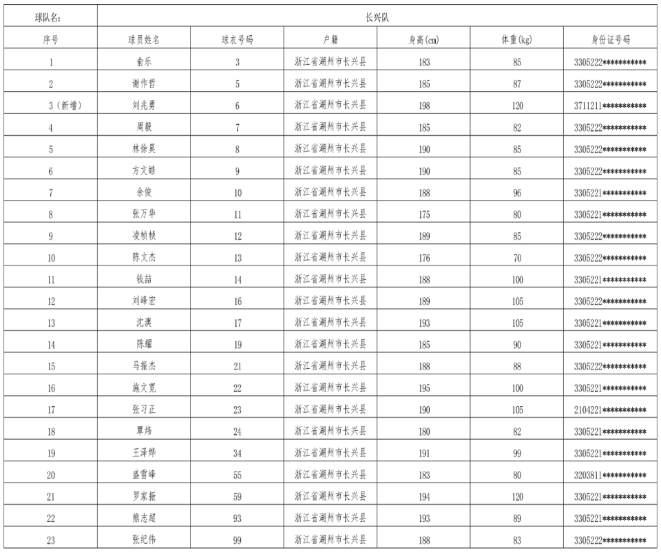
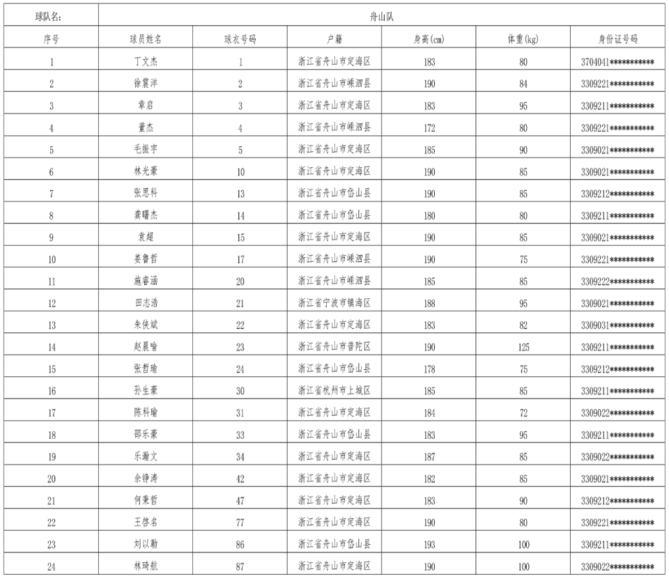
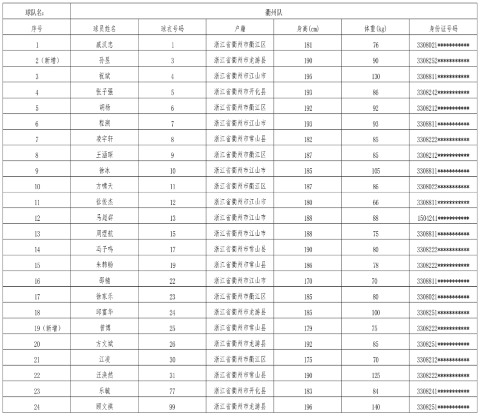
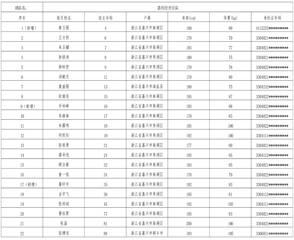
10月15日,浙江省篮球联赛组委会办公室发布通知,公布了调整后的2025年浙江省城市篮球联赛城市争霸赛阶段各参赛队大名单。新增球员自10月21日(小组赛第11轮)起允许启用。

OF

关于公布2025年浙江省城市篮球联赛城市争霸赛阶段参赛队名单(调整后)的通知.pdf

Tv, com, src

com, inews, https

最新名单一起来看↓↓↓

cQAA, om, bjfSB

eCegr, se

inews

阶段参赛队, Plo

(点击可查看大图)

一起期待

img

  接下来的精彩比赛!

bt, AaW, VMSh

来源 | 浙江发布

FIedK, om

pmRgA, OPoFf

src, mCGxh, RdPnn

xt

编辑 | 陈思

gtimg

校对 | 卓新怡

gtimg, DFQOX, gtimg

一审 | 陈涵

inews, 年浙江省城, inews

com, om

二审 | 唐宇昕

DFQOX

bt, om, OSCYV

iwY

OrVrJ, https, AHs

终审 | 卢发扬

Of, src, HwAA

src, Plo