雷竞技
全国咨询热线:
0832-5335908
首页
关于我们
产品中心
新闻中心
联系方式
新闻中心
公司新闻
行业资讯
新闻中心
太轻松,高芙武网一盘未输加冕“新后”,赛后与对手兼老友佩古拉相互告白
2025-10-29
四连杀日本太霸气!国羽天才沉寂四年终王者归来,一黑到底夺首冠
2025-10-29
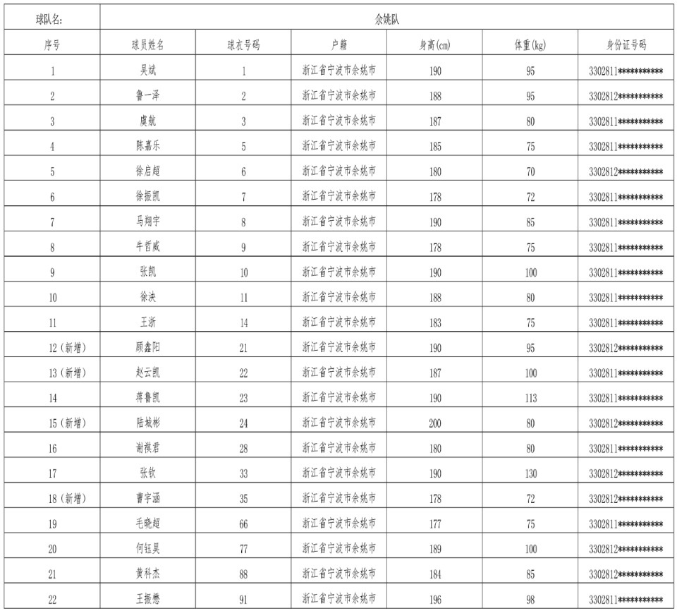
“浙BA”各队大名单调整 新增球员将启用
2025-10-28
球队获胜穆帅仍不满意:我们的比赛和训练内容完全不符
2025-10-28
回应餐饮价格上涨,曼联官方解释:控制上升的运营和供应成本
2025-10-27
斯卢茨基:与去年比,球队的比赛节奏和拼抢强度有明显提高
2025-10-27